PHPサンプル
UPDATE:2017年04月01日
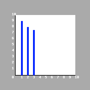
画像でグラフを作成したい
画像の描写 グラフ
PHPの「GD」拡張モジュールを使用します。詳細説明はこちら
1 2 3 4 5 6 7 8 9 10 11 12 13 14 15 16 17 18 19 20 21 22 23 24 25 26 27 28 29 30 31 32 33 34 35 36 37 38 39 40 41 42 43 44 45 46 47 48 49 50 51 52 53 54 55 56 | <!-- サンプルコード --> <?php //画像ハンドラ作成 $image = ImageCreate(300,300); //色指定 $GrayArea = ImageColorAllocate($image,0xAA,0xAA,0xAA); $blackArea = ImageColorAllocate($image,0x00,0x00,0x00); $redArea = ImageColorAllocate($image,0xFF,0x00,0x00); $whtArea = ImageColorAllocate($image,0xFF,0xFF,0xFF); $bleArea = ImageColorAllocate($image,0x00,0x22,0xFF); //グラフ背景 ImageFilledRectangle($image,50,50,250,250,$whtArea); //y軸 ImageFilledRectangle($image,50,50,51,250,$blackArea); //x軸 ImageFilledRectangle($image,50,250,250,251,$blackArea); //xメモリ ImageString($image,3,40,250,'0',$whtArea); ImageString($image,3,70,250,'1',$whtArea); ImageString($image,3,90,250,'2',$whtArea); ImageString($image,3,110,250,'3',$whtArea); ImageString($image,3,130,250,'4',$whtArea); ImageString($image,3,150,250,'5',$whtArea); ImageString($image,3,170,250,'6',$whtArea); ImageString($image,3,190,250,'7',$whtArea); ImageString($image,3,210,250,'8',$whtArea); ImageString($image,3,230,250,'9',$whtArea); ImageString($image,3,250,250,'10',$whtArea); //uメモリ ImageString($image,3,40,220,'1',$whtArea); ImageString($image,3,40,200,'2',$whtArea); ImageString($image,3,40,180,'3',$whtArea); ImageString($image,3,40,160,'4',$whtArea); ImageString($image,3,40,140,'5',$whtArea); ImageString($image,3,40,120,'6',$whtArea); ImageString($image,3,40,100,'7',$whtArea); ImageString($image,3,40,80,'8',$whtArea); ImageString($image,3,40,60,'9',$whtArea); ImageString($image,3,40,40,'10',$whtArea); //グラフ1 ImageFilledRectangle($image,70,70,75,250,$bleArea); //グラフ2 ImageFilledRectangle($image,90,90,95,250,$bleArea); //グラフ3 ImageFilledRectangle($image,110,100,115,250,$bleArea); header('Content-Type: image/png'); ImagePNG($image); ?> |
タグ(=記事関連ワード)
日付
投稿日:2012年3月2日
最終更新日:2017年04月01日
最終更新日:2017年04月01日
このカテゴリの他のページ
この記事へのコメント
トラックバックurl
https://wepicks.net/phpsample-image-graph/trackback/



